Author
Correspondence author
Journal of Mosquito Research, 2014, Vol. 4, No. 8 doi: 10.5376/jmr.2014.04.0008
Received: 16 Apr., 2014 Accepted: 15 May, 2014 Published: 22 May, 2014
Monnerat et al., 2014, Ideal time to evaluate infestation of breeding-sites of Anopheles spp. in Brazil, Journal of Mosquito Research, Vol.4, No.8 1-4 (doi: 10.5376/jmr.2014.01.0008)
Malaria is a serious problem for public health in Brazil, affecting more than 300,000 people annually. One of the options for controlling malaria is the treatment of breeding-sites infested by this mosquitoes larvae with biopesticides based on Bacillus sphaericus. For this proposal, it is necessary to have a good way for monitoring the presence of the larvae. This study aimed to verify the possibility of colleting Anopheles larvae at any time of the day, having flexibility in terms of collection times. The results showed that it is possible to collect the larvae at any time throughout the day, but the best time is between 7:00 and 9:00h in the morning. The larvae collected were identified at the level of species, and four species were detected: A. triannulatus, A. darlingi, A. peryassui and A. albitarsis.
![]() Figure 1 Percentage of larvae collected in 3 reservoirs and 3 fish-farm tanks in Cruzeiro do Sul, AC, at different times between 7:00h and 19:00h |
These results demonstrate that the Anopheles spp. larvae are more active in the morning when the water temperature and sunlight on the breeding-site are lower. The number of larvae collected at each site and time throughout the day show that it is possible to monitor the larvae in the period from 7:00h to 19:00h for positive presence with precision higher than 90%, by means of sampling by the proposed method. Thus, sampling throughout the day is appropriate for monitoring larvae, when preparing guidelines for application or not of biolarvicide, due to the high precision rate in the method, especially in conditions of high larval infestation in the breeding-sites. Monitoring the water temperature allows observation of a consistent negative correlation between this variable and the number of larvae in each collection site (Table 1). This fact supports the inference that their activity, and therefore the chance to capture Anopheles larvae, decreases as temperature increases, although this study did not find a limiting temperature for larva collection. Apparently the absence of larvae in some collections, generating “false negative” results, is not related to temperature; other factors such as sampling effort, or collection spots within the breeding-site, should be investigated in the future.
| Table 1 Pearson correlation coefficient between water temperature and the number of larvae collected by sampling in different breeding-sites (fish-farm tanks and reservoirs) in Cruzeiro do Sul, AC, from 6:00h to 19:00h |
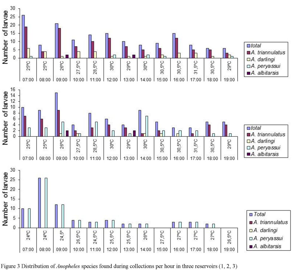
The larvae collected were identified to the species level, and four species were detected: A. triannulatus, A. darlingi, A. peryassui and A. albitarsis (Figure 2). The predominant species was A. triannulatus, followed by A. peryassui, A. darlingi and A. albitarsis. It is interesting to note that in reservoir 3 only A. peryassui was present, and in large numbers. In reservoirs number 1 and 2 and in fish-farm tank 2, this species was also detected, but in much lower numbers. Previous studies reported the presence of this species but in lower numbers (Furlaneto et al., 2007; Silva et al., 2006). According to Deane et al. (1988), Oliveira-Ferreira et al. (1990), Tadei et al. (1998) and Tadei & Thatcher (2000), among others, A. darlingi is the main species transmitting malaria in the region. However, these authors comment that A. triannulatus, A. braziliensis and A. nuneztovari have been found infected with Plasmodium falciparum and/or P. vivax, and so are also involved, on a lesser scale, in transmitting malaria. It is important to carry out studies on the ecology of each species found, to check their vectorial capacity. According to Silva et al., (2006) the presence of Plasmodium falciparum was detected in A. peryassui, so this may be a species involved in transmitting malaria.
![]() Figure 2 Percentage of species of Anopheles present in three breeding-sites of the type “reservoir” and “fish-farm tanks” |
Throughout the day, during collections, the relationship was confirmed as random between the times and the species found, both in the reservoir (Figure 3), and in the fish-farm tank (Figure 4).
![]() Figure 3 Distribution of Anopheles species found during collections per hour in three reservoirs (1, 2, 3) |
![]() Figure 4 Distribution of Anopheles species found during collections per hour in three fish-farm tanks (1, 2, 3) |
The results obtained suggest that the evaluation of positive presence in the breeding-sites can be carried out at any time of the day, but studies that need a greater number of larvae should be done in the morning, preferably.
http://dx.doi.org/10.1590/S0074-02761986000600002
http://dx.doi.org/10.1590/S0102-311X2006000800006
http://dx.doi.org/10.1590/S0036-46651988000300017
Xavier M.M. dos S.P., Rebelo J.M.M., 1999. Espécies de Anopheles (Culicidae, Anophelinae) em área endêmica de malária, Maranhão, Brasil. Rev. Saúde Pública, 33(6):535-41
http://dx.doi.org/10.1590/S0034-89101999000600003
. PDF(755KB)
. FPDF(win)
. HTML
. Online fPDF
Associated material
. Readers' comments
Other articles by authors
. Rose Monnerat
. Izanelda Magalhães
. Simone Daniel
. Felipe Ramos
. Edison Sujii
. Lilian Praça
. Erica Martins
. Carlos Marcelo Soares
Related articles
. Malaria
. Infestation
. Anopheles
Tools
. Email to a friend
. Post a comment
.png)
.png)
.png)
.png)